Budget

Annual Budget

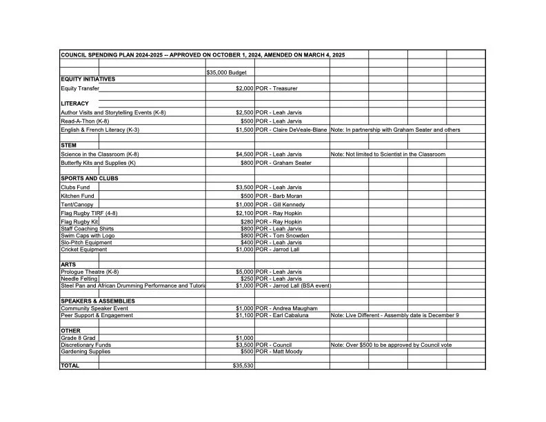
Curious about where the fundraising money goes? Annually, our committees submit initiatives into the budget for approval so Council funds can be earmarked appropriately to programs that best serve our students.

In addition to our Committees, any parent, teacher, or Bowmore stakeholder can make a submission for consideration.

Budget Development Timeline:

  • March: the budget committee, led by the Treasurer and chair (including participation from the school administration), invites and receives proposals from other Council committees, parents/stakeholders and teachers for new initiatives and events for the school.

  • May: the committee meets to review all proposals and evaluate whether to allocate funds for the proposed initiative in the following year.

  • June: the draft school council budget for the next school year is approved.

  • September: the committee brings forward the final budget draft for approval by the new school council executive.

  • Throughout the year: school council executive members provide updates on funds raised and expenditures for the events they lead.

Annual School Council Budgets

  • Current 2025/2026 Budget information available below

Prior School Council Budgets

  • 2024/2025 Budget information available below